搞懂flash_attention
本文记录了学习flash_attention遇到的一些好的文章,帮助你搞懂flash_attention。
我们知道现在的LLM大模型主流是基于attention搭建的,attention的计算效率也决定了生产场景中大模型的可用性。flash_attention目前有三个版本,分别是flash_attention和flash_attention2和flash_attention3,它们的目的都是采取一系列的优化手段,提高attention的计算效率。
根据Flash Attention原理详解 ,flashattention的核心思想是减少HBM的访问,将QKV切分为小块后放入SRAM中。FlashAttention 优化了显存存取,要搞懂flashattension就要搞懂softmax的优化计算,手撕online softmax, Flash Attention前传,一撕一个不吱声 ,手撕LLM-Flash Attention从softmax说起 。
Python X_batch = torch . randn ( 4 , 6 )
_ , d = X_batch . shape
X_batch_block_0 = X_batch [:, : d // 2 ]
X_batch_block_1 = X_batch [:, d // 2 :]
# we parallel calculate different block max & sum
X_batch_0_max , _ = X_batch_block_0 . max ( dim = 1 , keepdim = True )
X_batch_0_sum = torch . exp ( X_batch_block_0 - X_batch_0_max ) . sum ( dim = 1 , keepdim = True )
X_batch_1_max , _ = X_batch_block_1 . max ( dim = 1 , keepdim = True )
X_batch_1_sum = torch . exp ( X_batch_block_1 - X_batch_1_max ) . sum ( dim = 1 , keepdim = True )
# online batch block update max & sum
X_batch_1_max_update = torch . maximum ( X_batch_0_max , X_batch_1_max ) # 逐个元素找最大值
X_batch_1_sum_update = X_batch_0_sum * torch . exp ( X_batch_0_max - X_batch_1_max_update ) \
+ torch . exp ( X_batch_block_1 - X_batch_1_max_update ) . sum ( dim = 1 , keepdim = True ) # block sum
X_batch_online_softmax = torch . exp ( X_batch - X_batch_1_max_update ) / X_batch_1_sum_update
print ( X_batch_online_softmax )
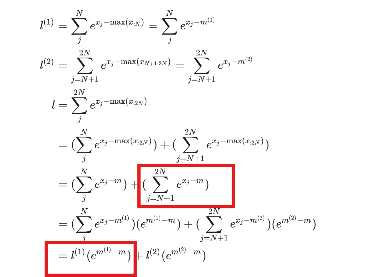
下面这句为啥和公式不一样呢?实际上是加的下面图中的两个红框。
Python X_batch_1_sum_update = X_batch_0_sum * torch . exp ( X_batch_0_max - X_batch_1_max_update ) \
+ torch . exp ( X_batch_block_1 - X_batch_1_max_update ) . sum ( dim = 1 , keepdim = True ) # block sum
flash_attention2
手撕LLM-FlashAttention2只因For循环优化的太美 ,Flash Attention 2比Flash Attention 1加速2x, 计算效率达到GEMM性能的50~73%。
减少非乘法计算
优化QKV for循环顺序
采用shared memory减少通信
flash_attention3
gpu-mode-cutlass-and-flashattention-3
实现Softmax
为了使用CUDA实现Softmax并通过PyTorch调用,需要编写CUDA核函数和C++包装器, 创建两个文件:main.cpp和softmax.cu。然后,在Python中加载并调用CUDA扩展。
详细代码实现参考KenForever1/online_softmax 。
实现FlashAttention
tspeterkim/flash-attention-minimal 。